PBQx-TF (PCE19)
Luminosyn™ Polymers, Materials, OPV Polymers, Semiconducting PolymersPBQx-TF, high efficiency narrow bandgap copolymer
Single junction non-fullerene polymer PBQx-TF solar cells gives efficiency of close to 19%
Specifications | MSDS | Literature and Reviews | Technical Support
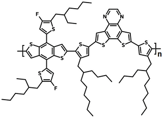
PBQx-TF is a highly efficient semiconducting polymer donor based on electron donating benzo[1,2-b:4,5-b']dithiophene (BDT) and electron withdrawing dithieno[3,2-f:2',3'-h]quinoxaline (DTQx) units as the main backbone, bearing two 2-ethylhexyl-3-fluorothiophene side chains on the fused BDT ring and 2-butyloctyl solubilizing groups on the bridging thiophen rings.
Single junction non-fullerene polymer solar cells based on PBQx-TF as the electron donor and eC9-2Cl:F-BTA3 as the binary electron acceptors in the active layer achieved a PCE of 19% with an open-circuit voltage of 0.879 V, short-circuit current density of 26.7 mA cm-2, and fill factor of 0.809. The device had the following structure [1].
Device structure: ITO/PEDOT:PSS AI 4083/PBQx-TF:eC9-2Cl:F-BTA3 (1:1:0.2)/PNDIT-F3N-Br/Ag
Thickness (nm) | VOC (V) | JSC (mA cm-2) | FF (%) | PCE (%) |
---|---|---|---|---|
100 | 0.879 | 26.7 | 80.9 | 18.99 |
For 5 – 10 grams order quantity please contact us for details, the lead time is 4 – 6 weeks.
Luminosyn™ PBQx-TF (PCE19)
Luminosyn™ PBQx-TF is now available.
High purity
PBQx-TF is purified via Soxhlet extraction with acetone, hexane, and chlorobenzene under an argon atmosphere
Large quantity orders
Plan your experiments with polymers from the same batch
General Information
CAS Number | N/A |
---|---|
Chemical Formula | (C78H94F2N2S8)n |
Full Name | Poly[(2,6-(4,8-bis(5-(2-ethylhexyl)-4-fluoro)thiophen-2-yl)-benzo[1,2-b:4,5-b’]dithiophene)-alt-5,5'-(6,9-bis(4-(2-butyloctyl)thiophen-2-yl)dithieno[3,2-f:2',3'-h]quinoxaline)] |
HOMO / LUMO | HOMO = -5.41 eV, LUMO = -2.82 eV [1] |
Solubility | Chloroform, chlorobenzene and dichlorobenzene |
Recommended Processing Solvents at 10mg/ml | o-Xylene (8mg/ml - M2383A1), dichlorobenzene (5mg/ml - M2383A2) |
Synonyms | PCE19 |
Classification / Family | Organic semiconducting materials, Medium bandgap polymers, Organic photovoltaics, Polymer solar cells, Perovskite solar cells, Hole-transport layer materials, NF-PSCs, All-polymer solar cells (all-PSCs) |
Batch Details
Batch | Mw | Mn | PDI | Stock Info |
---|---|---|---|---|
M2383A1 | 40,126 | 16,342 | 2.46 | In stock |
M2383A2 | 119,668 | 33,168 | 3.61 | In stock |
Chemical Structure

MSDS Documentation
Literature and Reviews
-
Single-Junction Organic Photovoltaic Cell with 19% Efficiency, Y. Cui et al., Adv. Mater., 33 (41), 2102420 (2021); DOI: 10.1002/adma.202102420.
-
A chlorinated lactone polymer donor featuring high performance and low cost, K. Jin et al., J. Semicond., 43, 050501 (2022); DOI: 10.1088/1674-4926/43/5/050501.
-
Star polymer donors, J. Cao et al., J. Semicond., 43, 070201 (2022); DOI: 10.1088/1674-4926/43/7/070201.