PBDB-TCl-T1, used to achieve high open voltages in polymer solar cell devices
High quality and available for fast, secure dispatch
Specifications | MSDS | Literature and Reviews | Technical Support
PBDB-TCl-T1 is a cholorinated version of PBDB-TF-T1 which obtains better solubility in non-halogenated solvents, i.e. o-xylene while still maintaining high device performance efficiencies over 16%.
Comparing with PBDB-TF-T1, both HOMO and LUMO energy levels of PBDB-TCl-T1 should be lowered due to the fact that electron density can be delocalized more effectively to the chlorine atom than the fluorine atom on the BDT (benzodithiophene) backbone unit. Higher open voltage can thus be expected PBDB-TCl-T1 in polymer solar cell devices.
Conjugated semiconducting polymer
For high efficient OPV applications
Luminosyn™
High purity, batch-specific GPC data, available larger batch orders and higher molecular weight
Worldwide shipping
Quick and reliable shipping
Green energy materials
Processable in non-halogenated solvents
PBDB-TCl-T1 was first developed at Ossila as part of Green Energy Materials project for polymer semiconducting materials to be processed in larger area in non-halogenated solvents by inkjet printing or doctor blade techniques.
Luminosyn™ PBDB-TCl-T1
Luminosyn™ PBDB-TCl-T1 is now available.
High purity
PBDB-TCl-T1 is purified by Soxhlet extraction with methanol, hexane and chlorobenzene under an argon atmosphere
Batch-specific GPC data
Batch specific GPC data is always available for your thesis or publication
Large-quantity orders
Plan your experiments with confidence with polymers from the same batch
General Information
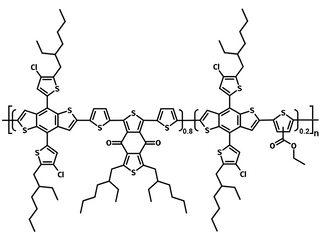
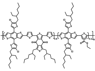
| Full name | Poly[(2,6-(4,8-bis(5-(2-ethylhexyl)-4-chlorothiophen-2-yl)-benzo[1,2-b:4,5-b']dithiophene))-alt-(5,5-(1',3'-di-2-thienyl-5',7'-bis(2-ethylhexyl)benzo[1',2'-c:4',5'-c']dithiophene-4,8-dione))]-ran-poly[(2,6-(4,8-bis(5-(2-ethylhexyl)thiophen-2-yl)-benzo[1,2-b:4,5-b']dithiophene))-alt-(2,2-ethyl-3(or4)-carboxylate-thiophene)] |
| Synonyms | T1-Cl |
| Chemical formula | [(C68H76Cl2O2S8)0.8(C41H44F2O2S5)0.2]n |
| CAS number | n.a. |
| HOMO / LUMO | HOMO = -5.59 eV, LUMO = -3.50 eV (cyclic voltammetry measurement) |
| Soluble in | o-xylene, chloroform, chlorobenzene and dichlorobenzene |
| Recommended Processing Solvents at 10mg/ml | Dichlorobenzene |
| Classification / Family | Organic semiconducting materials, Medium band-gap polymers, Organic Photovoltaics, Polymer solar cells, NF-PSCs, All-polymer solar cells (all-pscs). |
Batch Details
| Batch | Mw | Mn | PDI | Stock Info |
| M2282A1 | 157,117 | 43,015 | 3.65 | In stock |
Chemical Structure
MSDS Documentation
Literature and Reviews
- Achieving Over 15% Efficiency in Organic Photovoltaic Cells via Copolymer Design, Y. Cui et al., Adv. Mater., 31 (14), 1808356 (2019); DOI: 10.1002/adma.201808356.
- Eco-Compatible Solvent-Processed Organic Photovoltaic Cells with Over 16% Efficiency, L Hong et al., Adv. Mater., 31 (39), 1903441 (2019); DOI: 10.1002/adma.201903441.
