It looks like you are using an unsupported browser. You can still place orders by emailing us on info@ossila.com, but you may experience issues browsing our website. Please consider upgrading to a modern browser for better security and an improved browsing experience.

PTEBS Water Soluble Polythiophenes

CAS Number 744198-90-1

Interface Polymers, Materials, OPV Polymers, Semiconducting Polymers

Product Code M2197A3-100mg
Price $480

PTEBS, enhances performance of hybrid solar cells

Can be tuned to improve efficiencies for photovoltaic device performance


Specifications | Pricing and Options | MSDS | Literature and Reviews


PTEBS (CAS number 744198-90-1), sodium poly[2-(3-thienyl)-ethoxy-4-butylsulfonate], is a water soluble, environmentally friendly conjugated polythiophene and it has proven to be effective for enhancing the performance of hybrid solar cells.

Absorption spectrum of the PTEBS can be tuned by acid doping. When PTEBS is acidified, self-doping happens, and it leads to optical and infrared absorption changes with increased conductivity. These new absorption bands in return could improve efficiencies for photovoltaic device performance.

PTEBS can also be employed as a cathode interfacial material for perovskite solar cells. Ultrathin coating of PTEBs can lead to effective energy level aligning with improved film morphology. With a better ohmic contact between the perovskite layer and the cathode, device charge extraction and transport can be enhanced.

General Information


CAS number 744198-90-1
Chemical formula (C10H13S2O4Na)n
Absorption* λmax 456 nm (in water)
Photoluminescence λmax 586 nm (in water)
HOMO/LUMO HOMO = 5.2 eV, LUMO = 3.2 eV [1]
Full name
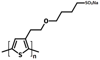
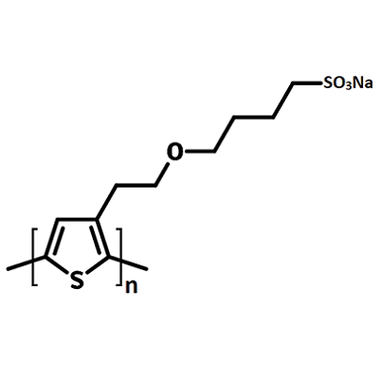
Sodium poly[2-(3-thienyl)-ethoxy-4-butylsulfonate]
Synonyms Poly[2-(3-thienyl)ethoxy-4-butylsulfonate], sodium salt
Solubility Water, DMF
Classification / Family Polymer thiophenes, Water soluble polythiophenes, Organic polymer solar cells, Organic electronics.

* Measurable with an optical spectrometer

Product Details


Purity >99%
Thermogravimetric Analysis (TGA) Not available
Appearance Brownish red powder/fiber

Chemical Structure


Chemical structure of PTEBS
Chemical structure of PTEBS, Sodium poly[2-(3-thienyl)-ethoxy-4-butylsulfonate]

Pricing


Batch Quantity Price
M2197A 100 mg £320
M2197A 250 mg £700
M2197A 500 mg £1250
M2197A 1 g £2050

Batch information


Batch Mw Mn PDI Stock info
M2197A1 35,000 <3.0 Discontinued
M2197A2 35,000
Discontinued
M2197A3 >1,000,000

In Stock

MSDS Documentation


PTEBS MSDSPTEBS MSDS sheet

Literature and Reviews


  1. Hybrid TiO2 Solar Cells Produced from Aerosolized Nanoparticles of Water-Soluble Polythiophene Electron Donor Layer, M. Sweet et al., J. Solar Energy, 192812 (2014); doi: 10.1155/2014/192812.
  2. Green-solvent-processable organic solar cells, S. Zhang et al., Mater. Today, 19 (9), 533-543 (2016); doi: 10.1016/j.mattod.2016.02.019 533.
  3. Hybrid Solar Cells fromWater-Soluble Polymers, J. T. McLeskey Jr. et al., Inter. J. Photoenergy, 20951, 1–6 (2006); DOI 10.1155/IJP/2006/20951.

Technical Support


Contact Ossila

To find out more, complete the form below to contact our technical team directly. You can also email info@ossila.com to request a quote or place an order.

Please fill the field
Please enter valid email address
Please enter your message
Return to the top