It looks like you are using an unsupported browser. You can still place orders by emailing us on info@ossila.com, but you may experience issues browsing our website. Please consider upgrading to a modern browser for better security and an improved browsing experience.

PFN-FP-I


Product Code M2080A1-100mg
Price $420

PFN-FP-I, active layer material for blue OLEDs

Used to improve extraction efficiencies in organic electronic devices


Overview | Specifications | MSDS | Literature and Reviews


PFN-FP-I (CAS number 1026670-72-3) is a conjugated polymer electrolyte diiodide salt of PFN-FP. It is used either as an active layer material for blue OLEDs, or as an electron-interface layer material in organic electronic devices (including OLED, OPV and perovskite solar cells) to improve extraction efficiency.

Due to its strong polar ionic pendant groups, PFN-FP-I is soluble in methanol and water.

Cathode interlayer molecule

Cathode interlayer molecule

For high efficient OPV applications

Improve extraction efficiency

Improve extraction efficiency

as a conjugated polyelectrolyte

Worldwide shipping for 1026670-72-3

Worldwide shipping

Quick and reliable shipping

Good solubility

Good solubility

Soluble in polar solvents with small amout of acetic acid

General Information


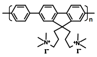
Full name Poly[(9,9-bis(3'-(N,N-trimethylamino)propyl)-2,7-fluorene)-alt-1,4-phenylene] diiodide
Synonyms PFN-FP iodide; PFN-B-I
Chemical formula (C31H40N2I2)n
CAS number 1026670-72-3
Classification/Family Conjugated polymers, Polymer electrolyte, Polyfluorenes, Electron interface layer materials, OLED, OPV, Perovskite materials, Water-soluble polymer materials

Chemical Structure


PFN-FP-I chemical structure
Chemical structure of PFN-FP-I

MSDS Documentation


PFN-FP-I MSDSPFN-FP-I MSDS sheet

Batch details

Batch Number Mw Mn PDI Stock Info
M2080A1 21 kDa 9.5 kDa 2.2 Low stock
M2080A2 24 kDa 10.9 kDa 2.2 In stock

Literature and References


  1. Combination of Titanium Oxide and a Conjugated Polyelectrolyte for High-Performance Inverted-Type Organic Optoelectronic Devices, H. Choi et al., Adv. Mater., 23, 2759–2763 (2011); DOI: 10.1002/adma.201100266.
  2. Influence of polymeric electron injection layers on the electrical properties of solution-processed multilayered polymer light-emitting diodes, E. Itoh et al., Jpn. J. Appl. Phys. 55 02BB16 (2016); http://doi.org/10.7567/JJAP.55.02BB16.
  3. Huge enhancement of optical nonlinearities in coupled Au and Ag nanoparticles induced by conjugated polymers, L. Polavarapu et al., Appl. Phys. Lett. 100, 023106 (2012); https://doi.org/10.1063/1.3675911.

Technical Support


Contact Ossila

To find out more, complete the form below to contact our technical team directly. You can also email info@ossila.com to request a quote or place an order.

Please fill the field
Please enter valid email address
Please enter your message
Return to the top