It looks like you are using an unsupported browser. You can still place orders by emailing us on info@ossila.com, but you may experience issues browsing our website. Please consider upgrading to a modern browser for better security and an improved browsing experience.

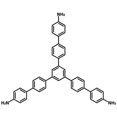
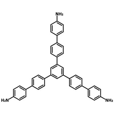
1,3,5-Tris[4-amino(1,1-biphenyl-4-yl)]benzene

CAS Number 1400987-00-9

Chemistry Building Blocks, COF Ligands, Materials, Porous Organic Frameworks

Product Code B4621-1g
Price $195

Covalent Organic Frameworks (COFs) Quinquephenyl Ligand

A trigonal ligand linker for covalent polymeric frameworks (CPFs) in application of nitrofurazone detection and photocatalyst


Specifications | MSDS | Literature and Reviews


1,3,5-Tris[4-amino(1,1-biphenyl-4-yl)]benzene (TABPB) is a trigonal hexaphenylbenzene derivative with three 4-amino-[1,1'-biphenyl] units sitting at meta positions to each other on a benzene ring. TABPB has a suitable aromatic skeleton in which slight distortion between phenyl groups reduces aggregation-induced quenching.

2D Donor–acceptor metal–organic framework JNM-18 with alternating units of Cu(I) cyclic trinuclear as an electron acceptor and 1,3,5-tris[4-amino(1,1-biphenyl-4-yl)]benzene as an electron donor, shows efficient photocatalytic activity for the aerobic oxidation reaction of benzylamines upon irradiation with a violet LED. Also, COF with imine linkers from Schiff condensation of 2,5-dihydroxybenzaldehyde and 1,3,5-tris[4-amino(1,1-biphenyl-4-yl)]benzene shows strong fluorescence with a strong emission peak at 408 nm for nitrofurazone detection. The detection range is 0.066–39 µg mL−1 with a detection limit of 0.022 µg mL−1.

MOF and COF ligands

MOF and COF ligands

Amine ligand for cross-linked COF networks

Worldwide shipping for 910231-21-9

Worldwide shipping

Quick and reliable shipping

High purity 910231-21-9

High purity

>97% High purity

Facile reactions

Facile reactions

Readily for polycondensation to form imine COF linkages



General Information


CAS Number 1400987-00-9
Chemical Formula C42H33N3
Full Name 1,3,5-Tris[4-amino(1,1-biphenyl-4-yl)]benzene
Molecular Weight 579.73 g/mol
Synonyms TABPB, 5''-(4'-amino-[1,1'-biphenyl]-4-yl)-[1,1':4',1'':3'',1''':4''',1''''-quinquephenyl]-4,4''''-diamine
Classification / Family Quinquephenyls, Amines, COF ligands

Chemical Structure


1,3,5-tris[4-amino(1,1-biphenyl-4-yl)]benzene chemical structure
1,3,5-Tris[4-amino(1,1-biphenyl-4-yl)]benzene (TABPB) chemical structure, CAS 1400987-00-9

Product Details


Purity > 97%
Melting Point n.a.
Appearance Dark beige to pale brown powder/crystals

MSDS Documentation


1400987-00-9 - 1,3,5-tris[4-amino(1,1-biphenyl-4-yl)]benzene1,3,5-Tris[4-amino(1,1-biphenyl-4-yl)]benzene MSDS Sheet

Literature and Reviews


  1. Designed synthesis of large-pore crystalline polyimide covalent organic frameworks, Q. Fang et al., Nat. Commun., 5, 4503 (2014); DOI: 10.1038/ncomms5503.
  2. Designing Fluorescent Covalent Organic Frameworks by Controlling Layer Spacing, Size of Aromatic Linker and Side Chains for Detection of Nitrofurazone, L. Kuang et al., Adv. Opt. Mater., 11 (9), 2202975 (2023); DOI: 10.1002/adom.202202975.
  3. Imine-linked donor–acceptor metal–organic frameworks for an efficient photocatalytic oxidative coupling reaction, Inorg. Chem. Front., 11, 417-424 (2024); DOI: 10.1039/D3QI02118A.

Technical Support


Contact Ossila

To find out more, complete the form below to contact our technical team directly. You can also email info@ossila.com to request a quote or place an order.

Please fill the field
Please enter valid email address
Please enter your message
Return to the top