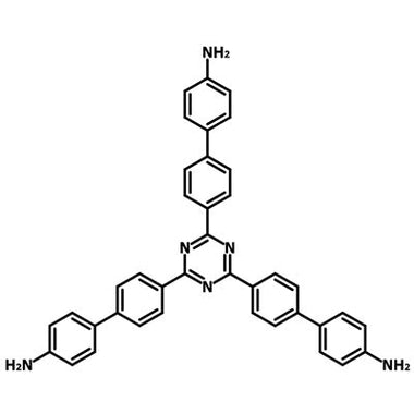
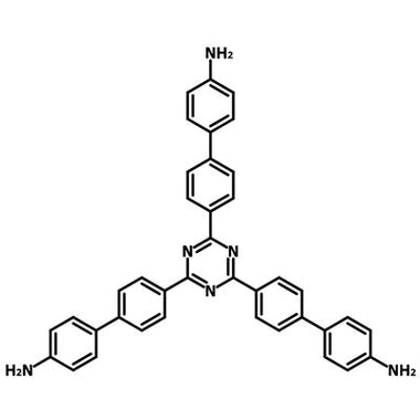
4',4''',4'''''-(1,3,5-triazine-2,4,6-triyl)tris([1,1'-biphenyl]-4-amine)
CAS Number 2130745-76-3
Chemistry Building Blocks, COF Ligands, Materials, Porous Organic FrameworksCovalent organic frameworks (COFs) Trazine ligand
Triangular amine bridging ligand for the synthesis of COFs in application of photocatalyst for hydrogen evolution reactions (HERs), photo-biocatalytic reactions, and hydrogen peroxide production
Specifications | MSDS | Literature and Reviews
4',4''',4'''''-(1,3,5-triazine-2,4,6-triyl)tris([1,1'-biphenyl]-4-amine) (TABPT) is a trigonal triazine derivative with [1,1'-biphenyl]-4-amine] groups at 2,4,6-positions.
COF C6-TRZ-TFP, prepared by solvothermal Schiff base polycondensation of 2-hydroxybenzene-1,3,5-tricarbaldehyde (TFP) and 4,4′,4′′-(1,3,5-triazine-2,4,6-triyl)tris[(1,1′-biphenyl)-4-amine], showed excellent hydrogen evolution reaction activity in electrochemical water splitting, with a very low overpotential of 200 mV and specific activity of 0.2831 mA cm−2 together with high retention of catalytic activity after a long duration of electrocatalysis in 0.5 M aqueous H2SO4.
COF-4, obtained from the condensation of tripodal amine 4,4′,4″-(1,3,5-triazine-2,4,6-triyl)tris(([1,1′-biphenyl]-4-amine)) and 2,4,6-triformylresorcinol with very suitable band gaps of 1.95 eV, shows a high-efficiency photo-biocatalytic activity for coenzyme nicotinamide adenine dinucleotide NADH photo regeneration and enhanced visible light-driven formic acid production at a rate of 226.3 μmol g–1 in 90 min.
MOF and COF ligands
Triazine ligand for cross-linked COF networks
Worldwide shipping
Quick and reliable shipping
High purity
>98% High purity
Facile reactions
Readily polycondensation cross-coupling reactions to form COF networks
Polycondensation of benzotrithiophene (BTT) and (1,3,5-triazine-2,4,6-triyl)tris([1,1´-biphenyl]-4-amine) affords crystalline, and porous imine-linked COF with a BET surface area of 1200 m2 g−1. Room temperature in-plane electrical conductivity of up to 10−4 S m−1 is measured for the COF film.
π-electron-extended triazine-based covalent organic framework (TFP-TPTPh COF) with excellent crystallinity and a high surface area of 724 m2 g−1, demonstrates remarkable photocatalytic degradation rate of RhB dye molecules with an efficiency of 97.02% under ultraviolet–visible light irradiation. Also, TFP-TPTPh COF shows an excellent photocatalytic capacity for reducing water to generate H2 with a hydrogen evolution rate (HER) of 2712 μmol g−1 h−1.
General Information
CAS Number | 2130745-76-3 |
Chemical Formula | C39H30N6 |
Full Name | 4',4''',4'''''-(1,3,5-triazine-2,4,6-triyl)tris([1,1'-biphenyl]-4-amine) |
Molecular Weight | 582.7 g/mol |
Synonyms | TABPT, TTBA, TTTBA, C6-TRZ-TRIAMINE, 2,4,6-Tris(4-amino-[1,1'-biphenyl])-1,3,5-triazine |
Classification / Family | COFs, Triazines, Amines |
Chemical Structure

Product Details
Purity | > 98% |
Melting Point | N/A |
Appearance | Dark yellow to pale brown powder/crystals |
MSDS Documentation
4',4''',4'''''-(1,3,5-triazine-2,4,6-triyl)tris([1,1'-biphenyl]-4-amine) MSDS Sheet
Literature and Reviews
-
Metal-Free Triazine-Based 2D Covalent Organic Framework for Efficient H2 Evolution by Electrochemical Water Splitting, S. Ruidas et al., ChemSusChem, 14 (22), 5057-5064 (2021); DOI: 10.1002/cssc.202101663.
-
Band Gap Engineering in Solvochromic 2D Covalent Organic Framework Photocatalysts for Visible Light-Driven Enhanced Solar Fuel Production from Carbon Dioxide, N. Singh et al., ACS Appl. Mater. Interfaces, 13 (12), 14122–14131 (2021); DOI: 10.1021/acsami.0c21117.
-
Oriented Thiophene-Extended Benzotrithiophene Covalent Organic Framework Thin Films: Directional Electrical Conductivity, L. Frey et al., Adv. Funct. Mater., 32 (47), 2205949 (2022); DOI: 10.1002/adfm.202205949.
-
Covalent organic frameworks for direct photosynthesis of hydrogen peroxide from water, air and sunlight, F. Liu et al., Nat. Commun., 14, 4344 (2023); DOI: 10.1038/s41467-023-40007-4.
- π-Electron-Extended Triazine-Based Covalent Organic Framework as Photocatalyst for Organic Pollution Degradation and H2 Production from Water, J. Wang et al., Polymers, 15(7), 1685 (2023); DOI: 10.3390/polym15071685.