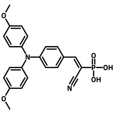
MPA-CPA
CAS Number 2212003-31-9
Charge Transport Layer Materials, Hole Transport Layer Materials, Materials, OLED Materials, Perovskite Interface Materials, Perovskite Materials,Small Self-Assembled Monolayer Molecule for High Efficiency Solar Cells
MPA-CPA, Hole transport or extraction layer for NFA-polymer solar cells and p-i-n perovskite solar cells
MPA-CPA (2-(4-(Bis(4-methoxyphenyl)amino)phenyl)-1-cyanovinyl)phosphonic acid, CAS No. 2212003-31-9) is a self-assembled monolayer material. It consists of a dimethoxy-triphenylamine terminal group, a cyano-vinyl linker, and phosphonic acid anchoring group. MPA-CPA coated substrates promote high quality perovskite films with minimal defects at the buried interface. It does this by providing a superwetting underlayer bedding for perovskite deposition, enabling highly efficient perovskite solar cells with great stability.
MPA-CPA is amphiphilic with hydrophilic cyano-vinyl group on the linker and phosphonic acid as the anchor, and also a hydrophobic methoxy-substituted triarylamine terminal group. The hydrophilic groups promote the hydrophilicity of self-assembled monolayer. This makes it highly wettable for the perovskite precursor solutions to form very uniform and large-area perovskite films on the MPA-CPA coated substrate without any pre-wetting treatment. The phosphonic acid anchoring group also gives rise of pinhole-free and coherent interface between the substrate electrode and the perovskite active layer.
The anchoring group acts as an excellent passivation agent to minimize the deep-level defects owing to the synergistic coordination of the cyano and phosphonic groups with lead ions through Pb–N and Pb–O bonds. As a result, the perovskite films deposited on top of and passivated by MPA-CPA self-assembled monolayer shows a high photoluminescence quantum yield (PLQY) of 17%, twice of that obtained by 2PACz-passivated perovskite.
Serving as hole selective contact for organic solar cells and perovskite solar cells, MPA-CPA is an alternative to PEDOT:PSS with superior performance with the convenience of solution deposition at low concentration, i.e. 1 mM.
Solution Processing Procedure
Typical processing solvents: Anhydrous ethanol (IPA, IPA/DMF are also superior solvents)
Typical concentration: 1.0 mg/ml
Typical processing procedure: MPA-CPA is dissolved in anhydrous ethanol at a concentration of 1.0 mg/ml. The solution is spun coated on the substrate for 30 s at 3000 rpm in a nitrogen filled glove box. The resulting MPA-CPA coated substrate is then cooled to room temperature after being annealed for 10 min at 100 ℃ (DOI: 10.1126/science.adg3755). The coated substrate can further be washed with a mixed solution of DMSO and DMF (volume ratio of 4:1) by spin-coating the mixture of the solvents for 30 s at 3000 rpm, then annealed for 5-10 min at 100 ℃.
General Information
| CAS Number | 2212003-31-9 |
|---|---|
| Chemical Formula | C23H21N2O5P |
| Molecular Weight | 436.40 g/mol |
| Absorption* | λmax (n.a.) |
| Fluorescence | λem (n.a.) |
| HOMO/LUMO | HOMO = 5.5 eV, LUMO = 2.1 eV |
| Synonyms | (2-(4-(Bis(4-methoxyphenyl)amino)phenyl)-1-cyanovinyl)phosphonic acid |
| Classification or Family | Triphenylamine derivatives, Self-assembly monolayers, Hole transport layer, Hole extraction layer, p-i-n Perovskite solar cells, Organic photovoltaics |
Product Details
| Purity | > 98% (HPLC) |
|---|---|
| Melting Point | n.a. |
| Appearance |
Orange powder |
Chemical Structure
MSDS Documentation
Literature and Reviews
-
Advantages and challenges of self-assembled monolayer as a hole-selective contact for perovskite solar cells, S. Wang et al., Mater. Futures. 2, 012105 (2023); DOI: 10.1088/2752-5724/acbb5a.
-
Minimizing buried interfacial defects for efficient inverted perovskite solar cells, S. Zhang et al., Science, 380 (6643), 404-409 (2023); DOI: 10.1126/science.adg37.
- Self-assembled monolayers as hole-transporting materials for inverted perovskite solar cells, Z. Lan et al., Mol. Syst. Des. Eng., 8, 1440-1455 (2023); DOI: 10.1039/D3ME00144J.
- Minimizing Voltage Losses via Synergistically Reducing Hetero-Interface Energy Offset for High Efficiency Perovskite Solar Cells, X. Ming et al., Small, 20 (33), 2312067 (2024); DOI: 10.1002/smll.202312067.
